Gönderen Konu: logaitmalı denklem sistemleri  (Okunma sayısı 10134 defa)

Çevrimdışı karamazof

  • G.O Azimli Üye
  • ***
  • İleti: 42
  • Karma: +2/-1
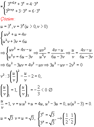
logaitmalı denklem sistemleri
« : Aralık 24, 2007, 02:01:06 öö »
ısınmaya başlayalım artık
saygılar

Çevrimdışı karamazof

  • G.O Azimli Üye
  • ***
  • İleti: 42
  • Karma: +2/-1
Ynt: logaitmalı denklem sistemleri
« Yanıtla #1 : Aralık 24, 2007, 02:03:03 öö »
devam ediyoruz
saygılar

Çevrimdışı karamazof

  • G.O Azimli Üye
  • ***
  • İleti: 42
  • Karma: +2/-1
Ynt: logaitmalı denklem sistemleri
« Yanıtla #2 : Aralık 24, 2007, 02:04:39 öö »
bazı soruları yanıtlarında parantezlerde açık kapalı hatası yaptım sanırım

 


Sitemap 1 2 3 4 5 6 7 8 9 10 11 12 13 14 15 16 17 18 19 20 21 22 23 24 25 26 27 28 29 30 31 32 33 34 35 36 37 38 
SimplePortal 2.3.3 © 2008-2010, SimplePortal