Gönderen Konu: birler basamağı {Çözüldü}  (Okunma sayısı 5212 defa)

edizalturk

  • Ziyaretçi
birler basamağı {Çözüldü}
« : Eylül 29, 2008, 02:30:38 ös »
...
« Son Düzenleme: Eylül 05, 2010, 06:13:55 ös Gönderen: senior »

Çevrimdışı ramcobox

  • G.O Yeni Üye
  • *
  • İleti: 5
  • Karma: +0/-0
Ynt: birler basamağı
« Yanıtla #1 : Mayıs 29, 2010, 06:59:36 ös »
8 mi acaba  ???

Çevrimdışı Lokman Gökçe

  • Lokman Gökçe
  • Administrator
  • Geo-Maniac
  • *********
  • İleti: 3.808
  • Karma: +26/-0
  • İstanbul
Ynt: birler basamağı
« Yanıtla #2 : Mayıs 30, 2010, 09:48:35 ös »
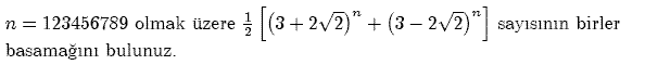
birler basamağı 7 oluyor :)... aşağıdaki çözümü inceleyebilirsiniz
Uğraşınca çözebileceğim zorlukta olan soruları çözmeyi severim.

 


Sitemap 1 2 3 4 5 6 7 8 9 10 11 12 13 14 15 16 17 18 19 20 21 22 23 24 25 26 27 28 29 30 31 32 33 34 35 36 37 
SimplePortal 2.3.3 © 2008-2010, SimplePortal