Gönderen Konu: akdeniz 2008-cebir  (Okunma sayısı 17326 defa)

Çevrimdışı Lokman Gökçe

  • Lokman Gökçe
  • Administrator
  • Geo-Maniac
  • *********
  • İleti: 3.808
  • Karma: +26/-0
  • İstanbul
akdeniz 2008-cebir
« : Nisan 24, 2008, 09:15:53 ös »
12 nisanda 9.sınıf öğrencilerimizi antalyaya götürmüştük. yarışma soruları biraz zor gelmişti, katılım belgesi kazandık :) 20 soru soruldu.4 tanesi geometriydi.16 cebir sorusunun birkaçı aşağıda. soruları hazırlayanlardan ilhami aliyev geçen yıl full çeken çok olduğu için bu yıl biraz daha zorlayalım demiş. (yarışma soruları ele ayağa düşmesin :) ) yine de erzurum aziziye'den soruların tamamını yapan bir öğrenci varmış(tebrikler).geometri soruları ise kolay olduğu için moral olmuş herkese ...
Uğraşınca çözebileceğim zorlukta olan soruları çözmeyi severim.

Çevrimdışı FEYZULLAH UÇAR

  • G.O Genel Moderator
  • Geo-Maniac
  • *******
  • İleti: 515
  • Karma: +10/-0
  • ŞanlıGümüşhane
Ynt: akdeniz 2008-cebir
« Yanıtla #1 : Nisan 25, 2008, 05:16:28 ös »
1
Kuyu derin değil ip kısa...

Çevrimdışı FEYZULLAH UÇAR

  • G.O Genel Moderator
  • Geo-Maniac
  • *******
  • İleti: 515
  • Karma: +10/-0
  • ŞanlıGümüşhane
Ynt: akdeniz 2008-cebir
« Yanıtla #2 : Nisan 25, 2008, 05:17:46 ös »
2
Kuyu derin değil ip kısa...

Çevrimdışı FEYZULLAH UÇAR

  • G.O Genel Moderator
  • Geo-Maniac
  • *******
  • İleti: 515
  • Karma: +10/-0
  • ŞanlıGümüşhane
Ynt: akdeniz 2008-cebir
« Yanıtla #3 : Nisan 25, 2008, 05:19:51 ös »
3
Kuyu derin değil ip kısa...

Çevrimdışı FEYZULLAH UÇAR

  • G.O Genel Moderator
  • Geo-Maniac
  • *******
  • İleti: 515
  • Karma: +10/-0
  • ŞanlıGümüşhane
Ynt: akdeniz 2008-cebir
« Yanıtla #4 : Nisan 25, 2008, 05:21:21 ös »
4
Kuyu derin değil ip kısa...

Çevrimdışı FEYZULLAH UÇAR

  • G.O Genel Moderator
  • Geo-Maniac
  • *******
  • İleti: 515
  • Karma: +10/-0
  • ŞanlıGümüşhane
Ynt: akdeniz 2008-cebir
« Yanıtla #5 : Nisan 25, 2008, 05:21:48 ös »
5
Kuyu derin değil ip kısa...

Çevrimdışı Lokman Gökçe

  • Lokman Gökçe
  • Administrator
  • Geo-Maniac
  • *********
  • İleti: 3.808
  • Karma: +26/-0
  • İstanbul
Ynt: akdeniz 2008-cebir
« Yanıtla #6 : Nisan 30, 2008, 08:41:54 ös »
zihnine sağlık Feyzullah hocam...
Uğraşınca çözebileceğim zorlukta olan soruları çözmeyi severim.

Çevrimdışı Lokman Gökçe

  • Lokman Gökçe
  • Administrator
  • Geo-Maniac
  • *********
  • İleti: 3.808
  • Karma: +26/-0
  • İstanbul
Ynt: akdeniz 2008-cebir
« Yanıtla #7 : Mayıs 08, 2008, 08:23:26 ös »
son parçayı da yollayalım ... . 16. soru diğerlerinden biraz daha zor gibime geldi. zaman buldukça çözümlerini de yaparız inş.
« Son Düzenleme: Mayıs 08, 2008, 08:25:34 ös Gönderen: scarface »
Uğraşınca çözebileceğim zorlukta olan soruları çözmeyi severim.

Çevrimdışı ibrahimsenturk

  • G.O Azimli Üye
  • ***
  • İleti: 44
  • Karma: +1/-1
Ynt: akdeniz 2008-cebir
« Yanıtla #8 : Mayıs 12, 2008, 09:01:33 ös »
11...

Çevrimdışı FEYZULLAH UÇAR

  • G.O Genel Moderator
  • Geo-Maniac
  • *******
  • İleti: 515
  • Karma: +10/-0
  • ŞanlıGümüşhane
Ynt: akdeniz 2008-cebir
« Yanıtla #9 : Mayıs 12, 2008, 10:14:12 ös »
12
Kuyu derin değil ip kısa...

Çevrimdışı FEYZULLAH UÇAR

  • G.O Genel Moderator
  • Geo-Maniac
  • *******
  • İleti: 515
  • Karma: +10/-0
  • ŞanlıGümüşhane
Ynt: akdeniz 2008-cebir
« Yanıtla #10 : Mayıs 12, 2008, 10:14:36 ös »
13
Kuyu derin değil ip kısa...

Çevrimdışı FEYZULLAH UÇAR

  • G.O Genel Moderator
  • Geo-Maniac
  • *******
  • İleti: 515
  • Karma: +10/-0
  • ŞanlıGümüşhane
Ynt: akdeniz 2008-cebir
« Yanıtla #11 : Mayıs 12, 2008, 10:15:06 ös »
14
Kuyu derin değil ip kısa...

Çevrimdışı FEYZULLAH UÇAR

  • G.O Genel Moderator
  • Geo-Maniac
  • *******
  • İleti: 515
  • Karma: +10/-0
  • ŞanlıGümüşhane
Ynt: akdeniz 2008-cebir
« Yanıtla #12 : Mayıs 12, 2008, 10:15:37 ös »
15
Kuyu derin değil ip kısa...

Çevrimdışı FEYZULLAH UÇAR

  • G.O Genel Moderator
  • Geo-Maniac
  • *******
  • İleti: 515
  • Karma: +10/-0
  • ŞanlıGümüşhane
Ynt: akdeniz 2008-cebir
« Yanıtla #13 : Mayıs 12, 2008, 10:16:28 ös »
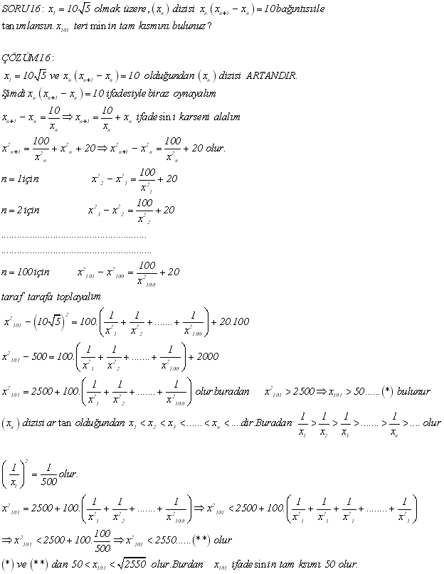
16
Kuyu derin değil ip kısa...

Çevrimdışı FEYZULLAH UÇAR

  • G.O Genel Moderator
  • Geo-Maniac
  • *******
  • İleti: 515
  • Karma: +10/-0
  • ŞanlıGümüşhane
Ynt: akdeniz 2008-cebir
« Yanıtla #14 : Mayıs 12, 2008, 10:21:01 ös »
2 parça çözülmedi ...6.soru
Kuyu derin değil ip kısa...

 


Sitemap 1 2 3 4 5 6 7 8 9 10 11 12 13 14 15 16 17 18 19 20 21 22 23 24 25 26 27 28 29 30 31 32 33 34 35 36 37 
SimplePortal 2.3.3 © 2008-2010, SimplePortal