Gönderen Konu: log.sorusu  (Okunma sayısı 11730 defa)

Çevrimdışı serdar

  • G.O İlgili Üye
  • **
  • İleti: 14
  • Karma: +0/-1
log.sorusu
« : Aralık 13, 2007, 09:48:24 ös »
...

Çevrimdışı KTULU2009

  • G.O Sevecen Üye
  • ****
  • İleti: 63
  • Karma: +0/-0
Ynt: log.sorusu
« Yanıtla #1 : Aralık 19, 2007, 10:32:53 ös »
...
« Son Düzenleme: Aralık 23, 2007, 06:51:58 ös Gönderen: alpercay »

Çevrimdışı serdar

  • G.O İlgili Üye
  • **
  • İleti: 14
  • Karma: +0/-1
Ynt: log.sorusu
« Yanıtla #2 : Aralık 20, 2007, 12:05:50 öö »
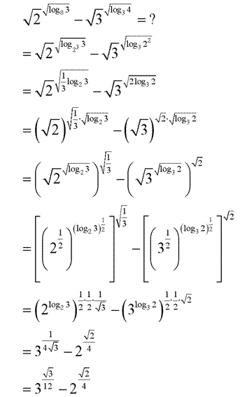
hocam logaritmanın üstündeki   1/2 başa çarpan gelmezki?

Çevrimdışı KTULU2009

  • G.O Sevecen Üye
  • ****
  • İleti: 63
  • Karma: +0/-0
Ynt: log.sorusu
« Yanıtla #3 : Aralık 20, 2007, 12:15:09 öö »
üslü sayılarda üsler kendi aralarında yer değiştirebilirler...? (sorunun kaynağı ve şıkları nedir? çok merak ettim...)
« Son Düzenleme: Aralık 20, 2007, 12:24:17 öö Gönderen: KTULU2009 »

Çevrimdışı poyraz

  • G.O Sevecen Üye
  • ****
  • İleti: 70
  • Karma: +1/-0
Ynt: log.sorusu
« Yanıtla #4 : Aralık 20, 2007, 08:19:50 ös »
Serdar hocamızın söylemek istediğini daha net olarak aktarayım istedim.

Çevrimdışı ftmgl

  • G.O Yeni Üye
  • *
  • İleti: 1
  • Karma: +0/-0
Ynt: log.sorusu
« Yanıtla #5 : Aralık 23, 2007, 06:42:08 ös »
cvb  ne acaba ??? ??? ???

Çevrimdışı Lokman Gökçe

  • Lokman Gökçe
  • Administrator
  • Geo-Maniac
  • *********
  • İleti: 3.809
  • Karma: +26/-0
  • İstanbul
Ynt: log.sorusu
« Yanıtla #6 : Aralık 23, 2007, 11:16:51 ös »
serdar hocam, sorunun kaynağını belirtebilir misiniz acaba? yaklaşık değeri 0,566971 oluyor. sorunun doğruluğundan emin olursak belki bişeyler üretilebilir.
Uğraşınca çözebileceğim zorlukta olan soruları çözmeyi severim.

Çevrimdışı KTULU2009

  • G.O Sevecen Üye
  • ****
  • İleti: 63
  • Karma: +0/-0
Ynt: log.sorusu
« Yanıtla #7 : Aralık 25, 2007, 10:13:40 ös »
çok emek vermiştim yukarıdaki çözümü yazmak için ama hata yapmışım, haklısınız...    :(

 


Sitemap 1 2 3 4 5 6 7 8 9 10 11 12 13 14 15 16 17 18 19 20 21 22 23 24 25 26 27 28 29 30 31 32 33 34 35 36 37 
SimplePortal 2.3.3 © 2008-2010, SimplePortal