Gönderen Konu: çarpanlara ayırma  (Okunma sayısı 10661 defa)

Çevrimdışı berketugay

  • G.O Azimli Üye
  • ***
  • İleti: 32
  • Karma: +1/-0
çarpanlara ayırma
« : Kasım 15, 2007, 10:17:34 ös »
bakarsanız sevinirim

Çevrimdışı ali ergin

  • G.O İlgili Üye
  • **
  • İleti: 13
  • Karma: +0/-0
Ynt: çarpanlara ayırma
« Yanıtla #1 : Kasım 16, 2007, 01:23:45 ös »
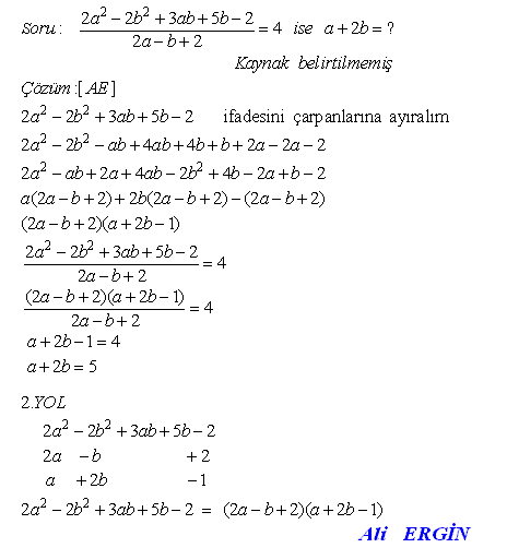
...
SAKARYA

Çevrimdışı ali ergin

  • G.O İlgili Üye
  • **
  • İleti: 13
  • Karma: +0/-0
Ynt: çarpanlara ayırma
« Yanıtla #2 : Kasım 16, 2007, 01:37:39 ös »
2.yol  için   açıklama
SAKARYA

Çevrimdışı Teknokrat

  • G.O Bağımlı Üye
  • *****
  • İleti: 154
  • Karma: +6/-2
Ynt: çarpanlara ayırma
« Yanıtla #3 : Kasım 16, 2007, 05:21:10 ös »
Özel yöntemde xy li ifade hakkında birşey denmemiş ona ne şekilde karar verdi?
Yine, yeni, yeniden...

Çevrimdışı FEYZULLAH UÇAR

  • G.O Genel Moderator
  • Geo-Maniac
  • *******
  • İleti: 515
  • Karma: +10/-0
  • ŞanlıGümüşhane
Ynt: çarpanlara ayırma
« Yanıtla #4 : Kasım 16, 2007, 05:27:29 ös »
x li ifadelerle y li ifadeleri çapraz çarpıp topladığımızda xy li ifadeyi vermeli.
x     2y
2x    y   ifadesi 5xy olur
Kuyu derin değil ip kısa...

 


Sitemap 1 2 3 4 5 6 7 8 9 10 11 12 13 14 15 16 17 18 19 20 21 22 23 24 25 26 27 28 29 30 31 32 33 34 35 36 37 
SimplePortal 2.3.3 © 2008-2010, SimplePortal