Gönderen Konu: 2011 - 16. Antalya Matematik Olimpiyatları Soruları  (Okunma sayısı 24805 defa)

Çevrimdışı Lokman Gökçe

  • Lokman Gökçe
  • Administrator
  • Geo-Maniac
  • *********
  • İleti: 3.808
  • Karma: +26/-0
  • İstanbul
Ynt: 2011 - 16. Antalya Matematik Olimpiyatları Soruları
« Yanıtla #15 : Nisan 20, 2011, 12:49:26 öö »
çözüm 14:
Uğraşınca çözebileceğim zorlukta olan soruları çözmeyi severim.

Çevrimdışı gahiax

  • G.O Genel Moderator
  • G.O Efsane Üye
  • ********
  • İleti: 443
  • Karma: +8/-0
Ynt: 2011 - 16. Antalya Matematik Olimpiyatları Soruları
« Yanıtla #16 : Nisan 20, 2011, 01:12:12 öö »
bi daha kombinatorik sorusu çözmüyecem mahvetti bu soru beni :)  lokman hocam yokmudur bi kısa yolu bunun :D
« Son Düzenleme: Nisan 20, 2011, 01:18:09 öö Gönderen: gahiax »
geometri en sade tanımıyla düşünce okuma sanatıdır(gahia)

Çevrimdışı Lokman Gökçe

  • Lokman Gökçe
  • Administrator
  • Geo-Maniac
  • *********
  • İleti: 3.808
  • Karma: +26/-0
  • İstanbul
Ynt: 2011 - 16. Antalya Matematik Olimpiyatları Soruları
« Yanıtla #17 : Nisan 20, 2011, 11:27:51 ös »
eline sağlık H. İbrahim kardeşim dikkatli ve güzel bir çözüm vermişsin. kombinatorik problemlerine devam etmelisin bence. etkilenmemek için çözümünü okumadan aşağıdaki çözümü yaptım ben de. temel olarak 2.C(8,3).C(4,3) - C(4,3).C(4,3) kombinasyon hesabı problemimizi çözüyor.
Uğraşınca çözebileceğim zorlukta olan soruları çözmeyi severim.

Çevrimdışı Lokman Gökçe

  • Lokman Gökçe
  • Administrator
  • Geo-Maniac
  • *********
  • İleti: 3.808
  • Karma: +26/-0
  • İstanbul
Ynt: 2011 - 16. Antalya Matematik Olimpiyatları Soruları
« Yanıtla #18 : Nisan 21, 2011, 01:20:06 öö »
problem 18 bu sınavın en çok merak edilen sorusuydu sanırım. ayrıca çözmesi de keyifli bir geometrik eşitsizlik problemi :)

Uğraşınca çözebileceğim zorlukta olan soruları çözmeyi severim.

Çevrimdışı Lokman Gökçe

  • Lokman Gökçe
  • Administrator
  • Geo-Maniac
  • *********
  • İleti: 3.808
  • Karma: +26/-0
  • İstanbul
Ynt: 2011 - 16. Antalya Matematik Olimpiyatları Soruları
« Yanıtla #19 : Nisan 21, 2011, 03:54:17 ös »
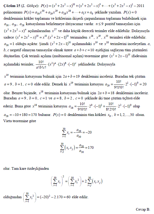
çözüm 15:

Uğraşınca çözebileceğim zorlukta olan soruları çözmeyi severim.

Çevrimdışı osman211

  • G.O Bağımlı Üye
  • *****
  • İleti: 118
  • Karma: +3/-1
Ynt: 2011 - 16. Antalya Matematik Olimpiyatları Soruları
« Yanıtla #20 : Nisan 21, 2011, 04:51:28 ös »
çok iyi bi çözüm olmuş bosuna uğraşıyomuşum meğer soru için

Çevrimdışı Lokman Gökçe

  • Lokman Gökçe
  • Administrator
  • Geo-Maniac
  • *********
  • İleti: 3.808
  • Karma: +26/-0
  • İstanbul
Ynt: 2011 - 16. Antalya Matematik Olimpiyatları Soruları
« Yanıtla #21 : Nisan 21, 2011, 05:14:40 ös »
çalışma boşa gitmez Osman kardeşim, endişe etme. Tübitak ve Antalya gibi yarışma problemleri için çözemediğimiz sorulara en az yarım saat ayırmak gereklidir. unutmayalım ki uğraşmadan çözüme bakmak bizi geliştirmez. bu sebeple doğrusunu yapmışsın ve problem üzerinde uğraşmışsın. çalışmalarında kolaylıklar dilerim :)

çözüm 9:
Uğraşınca çözebileceğim zorlukta olan soruları çözmeyi severim.

Çevrimdışı Lokman Gökçe

  • Lokman Gökçe
  • Administrator
  • Geo-Maniac
  • *********
  • İleti: 3.808
  • Karma: +26/-0
  • İstanbul
Ynt: 2011 - 16. Antalya Matematik Olimpiyatları Soruları
« Yanıtla #22 : Nisan 21, 2011, 06:36:30 ös »
9. soru için bir başka çözüm daha düşündüm:

çözüm 9/2:

Uğraşınca çözebileceğim zorlukta olan soruları çözmeyi severim.

Çevrimdışı Lokman Gökçe

  • Lokman Gökçe
  • Administrator
  • Geo-Maniac
  • *********
  • İleti: 3.808
  • Karma: +26/-0
  • İstanbul
Ynt: 2011 - 16. Antalya Matematik Olimpiyatları Soruları
« Yanıtla #23 : Nisan 21, 2011, 10:35:15 ös »
çözüm 8:
Uğraşınca çözebileceğim zorlukta olan soruları çözmeyi severim.

Çevrimdışı Lokman Gökçe

  • Lokman Gökçe
  • Administrator
  • Geo-Maniac
  • *********
  • İleti: 3.808
  • Karma: +26/-0
  • İstanbul
Ynt: 2011 - 16. Antalya Matematik Olimpiyatları Soruları
« Yanıtla #24 : Nisan 22, 2011, 12:45:48 öö »
çözüm 10:
Uğraşınca çözebileceğim zorlukta olan soruları çözmeyi severim.

Çevrimdışı geo

  • Administrator
  • Geo-Maniac
  • *********
  • İleti: 2.804
  • Karma: +10/-0
Ynt: 2011 - 16. Antalya Matematik Olimpiyatları Soruları
« Yanıtla #25 : Nisan 22, 2011, 08:10:20 ös »
18. soruya başka yerlerde rastlayanınız var mı? Ben görmedim.

Bu arada 18. sorunun genel hali için
Min(AP + BP + CP*q) =KÖK((q2(a2+c2-b2)+2b2+4[A]qKÖK(4-q2))/2)
ve q = 1 için Fermat noktası sorulmuş oluyor. Yani Min(AP+BP+CP) = KÖK((a2+b2+c2+4[A]KÖK(3))/2)

Not. [A] = Alan(ABC)

Çevrimdışı Lokman Gökçe

  • Lokman Gökçe
  • Administrator
  • Geo-Maniac
  • *********
  • İleti: 3.808
  • Karma: +26/-0
  • İstanbul
Ynt: 2011 - 16. Antalya Matematik Olimpiyatları Soruları
« Yanıtla #26 : Nisan 22, 2011, 11:59:10 ös »
18. soruya daha önce rastlamadım şahsen. ama bu rpoblemden sonra kenar uzunlukları a, b, c olan ABC üçgeninin düzleminden keyfi bir P noktası seçildiğinde x.PA+ y.PB+ z.PC toplamının min. değerinin bulunması için bir yöntem buldum. burada x, y, z üçgen eşitsizliğini sağlayan verilmiş pozitif sayılardır. x = y = z = 1 durumunda fermat noktasını elde ediyoruz. x = √2, y = z = 1 durumunda antalya'nın 18. problemini elde ediyoruz.

p.24 deki diğer bir geometrik eşitsizlik probleminin çözümünü verelim. çözümde ikizkenar üçgenler için izoperimetri teoremini kullanıyoruz. ispatını vermedim ama biraz uğraşılınca bulunabilir diye düşündüm. (olmazsa ayrıca bu ispatı hazırlayıp gönderebiliriz)

çözüm 24:

« Son Düzenleme: Nisan 23, 2011, 12:01:51 öö Gönderen: scarface »
Uğraşınca çözebileceğim zorlukta olan soruları çözmeyi severim.

Çevrimdışı geo

  • Administrator
  • Geo-Maniac
  • *********
  • İleti: 2.804
  • Karma: +10/-0
Ynt: 2011 - 16. Antalya Matematik Olimpiyatları Soruları
« Yanıtla #27 : Nisan 23, 2011, 08:17:08 öö »
18. problemin genel hali "Ağırlıklandırılmış Fermat Noktası" diye geçiyormuş.

Google Keywords:
"Generalized Fermat Point", "The Weighted Fermat Point", "The Weighted Fermat Triangle"

Çevrimdışı Lokman Gökçe

  • Lokman Gökçe
  • Administrator
  • Geo-Maniac
  • *********
  • İleti: 3.808
  • Karma: +26/-0
  • İstanbul
Ynt: 2011 - 16. Antalya Matematik Olimpiyatları Soruları
« Yanıtla #28 : Nisan 23, 2011, 02:19:21 ös »
ağırlıklandırılmış fermat noktası problemi 1965 de çözülmüş, (daha da eski çözüm var mı bilmiyorum) sonraki yıllarda da farklı çözüm yöntemleri sunan çalışmalar yapılmış.

19. problemi çözümünde direkt bir sıralama yapmak istersek cebirsel işlemlerle 31/3 < log35 olduğunu göstermek  basit olmayabilir. hesap makinesi kullanmadan bu eşitsizliği ispatlayan üyelerimiz olursa çözümlerini paylaşabilir :)

çözüm 19:
Uğraşınca çözebileceğim zorlukta olan soruları çözmeyi severim.

Çevrimdışı Lokman Gökçe

  • Lokman Gökçe
  • Administrator
  • Geo-Maniac
  • *********
  • İleti: 3.808
  • Karma: +26/-0
  • İstanbul
Ynt: 2011 - 16. Antalya Matematik Olimpiyatları Soruları
« Yanıtla #29 : Nisan 23, 2011, 10:41:32 ös »
çözüm 20:
Uğraşınca çözebileceğim zorlukta olan soruları çözmeyi severim.

 


Sitemap 1 2 3 4 5 6 7 8 9 10 11 12 13 14 15 16 17 18 19 20 21 22 23 24 25 26 27 28 29 30 31 32 33 34 35 36 37 
SimplePortal 2.3.3 © 2008-2010, SimplePortal