Gönderen Konu: minimum deger {çözüldü}  (Okunma sayısı 4170 defa)

Çevrimdışı geo21

  • G.O İlgili Üye
  • **
  • İleti: 15
  • Karma: +1/-1
minimum deger {çözüldü}
« : Şubat 15, 2009, 08:12:50 ös »
 :)Sorunuzun kaynağını belirtiniz...Alper
« Son Düzenleme: Mart 20, 2010, 07:34:13 ös Gönderen: scarface »

Çevrimdışı geo21

  • G.O İlgili Üye
  • **
  • İleti: 15
  • Karma: +1/-1
Ynt: minimum deger
« Yanıtla #1 : Temmuz 19, 2009, 07:13:14 ös »
 şu soruya yorum getiren yok mu?

Çevrimdışı Lokman Gökçe

  • Lokman Gökçe
  • Administrator
  • Geo-Maniac
  • *********
  • İleti: 3.808
  • Karma: +26/-0
  • İstanbul
Ynt: minimum deger
« Yanıtla #2 : Temmuz 20, 2009, 11:01:48 ös »
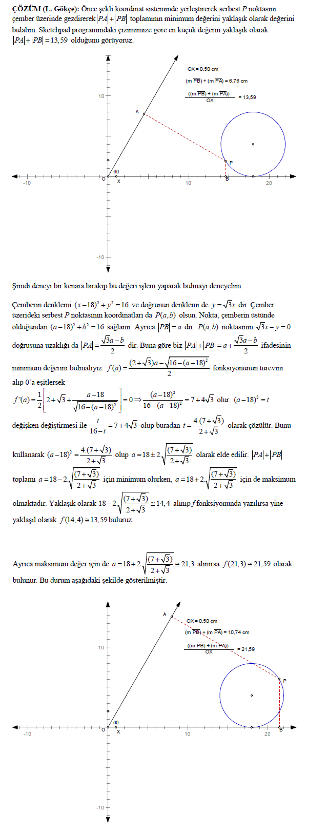
atmasyon bir soruya benziyor diye kimsenin uğraşası gelmemiş anlaşılan. sorunuzun bir kaynağı var mı acaba sayın hocam? siz min toplamı sormuştunuz. ben min. ve max. toplamın her ikisini de buldum. çözüm aşağıdadır.





Uğraşınca çözebileceğim zorlukta olan soruları çözmeyi severim.

Çevrimdışı alpercay

  • Administrator
  • Geo-Maniac
  • *******
  • İleti: 1.019
  • Karma: +15/-0
Ynt: minimum deger
« Yanıtla #3 : Temmuz 21, 2009, 06:42:53 ös »
Eline sağlık Lokman Hocam.Kaynağını biliyorsanız belirtmenizde yarar var;nerde ne var bilmemiz açısından,bilmiyorsanız da bilmiyorum demeniz yeterli.Soruma yanıt alamadığım için doğrusu sorunuza hiç bakmadım.

 


Sitemap 1 2 3 4 5 6 7 8 9 10 11 12 13 14 15 16 17 18 19 20 21 22 23 24 25 26 27 28 29 30 31 32 33 34 35 36 37 
SimplePortal 2.3.3 © 2008-2010, SimplePortal