Gönderen Konu: binom açılımı ile ilgili formüller  (Okunma sayısı 18272 defa)

Çevrimdışı ahmetbazın

  • G.O Azimli Üye
  • ***
  • İleti: 25
  • Karma: +0/-0
binom açılımı ile ilgili formüller
« : Ağustos 27, 2009, 09:16:50 ös »
iyi akşamlar...
En kısa yol bildiğin yoldur...

Çevrimdışı ahmetbazın

  • G.O Azimli Üye
  • ***
  • İleti: 25
  • Karma: +0/-0
Ynt: binom açılımı ile ilgili formüller
« Yanıtla #1 : Ağustos 27, 2009, 09:57:13 ös »
hallettim.
En kısa yol bildiğin yoldur...

Çevrimdışı Lokman Gökçe

  • Lokman Gökçe
  • Administrator
  • Geo-Maniac
  • *********
  • İleti: 3.804
  • Karma: +26/-0
  • İstanbul
Ynt: binom açılımı ile ilgili formüller
« Yanıtla #2 : Ağustos 27, 2009, 11:10:29 ös »
bulduğunuz formülleri burda da paylaşabilirsiniz hocam  :)
Uğraşınca çözebileceğim zorlukta olan soruları çözmeyi severim.

Çevrimdışı osmanekiz

  • G.O Demirbaş Üye
  • ******
  • İleti: 225
  • Karma: +9/-0
Ynt: binom açılımı ile ilgili formüller
« Yanıtla #3 : Ağustos 27, 2009, 11:25:57 ös »
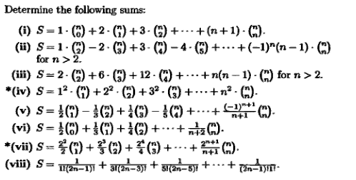
Kombinatoryal toplamlar olimpiyatların vazgeçilmezlerinden olup bir demet sunalım.

Çevrimdışı osmanekiz

  • G.O Demirbaş Üye
  • ******
  • İleti: 225
  • Karma: +9/-0
Ynt: binom açılımı ile ilgili formüller
« Yanıtla #4 : Ağustos 27, 2009, 11:27:23 ös »
Ayrıca karmaaşık sayılar yardımıylada çok enterasan kombinatoryal toplam formülleri elde edilebiliyor. Ama yukardaki örneklere nazaran biraz daha zor

Çevrimdışı ahmetbazın

  • G.O Azimli Üye
  • ***
  • İleti: 25
  • Karma: +0/-0
Ynt: binom açılımı ile ilgili formüller
« Yanıtla #5 : Ağustos 28, 2009, 08:05:53 öö »
teşekkürler osman hocam.
En kısa yol bildiğin yoldur...

 


Sitemap 1 2 3 4 5 6 7 8 9 10 11 12 13 14 15 16 17 18 19 20 21 22 23 24 25 26 27 28 29 30 31 32 33 34 35 36 37 
SimplePortal 2.3.3 © 2008-2010, SimplePortal